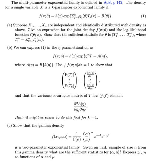
Benjamin Brennan Blog